Практико-ориентированные задачи по математике
Автор: Багдулина Светлана Сергеевна
Организация: МБОУ СШ № 17
Населенный пункт: Ульяновская область, г. Ульяновск
Цель моей работы в данном направлении – показать практическое применение математики, повысить интерес учащихся к математике.
Математика – интересная и живая дисциплина, особенно если ее рассматривать во взаимосвязи с различными сферами жизни.
Практико-ориентированные задачи способствуют:
- развитию гибкости ума;
- овладению системой математических знаний и умений, необходимых для применения в практической деятельности;
- ясности и точности мысли, развитию критического мышления, логического мышления;
- формированию представлений об идеях и методах математики как универсального языка науки и техники.
В своей публикации предлагаю задачи на тему «Мебельное производство» и «Машиностроение». Задачи рассчитаны в основном на 8-9 классы.
В задаче 1 («Мебельное производство») предлагаю адаптированные под ОГЭ задания.
Практико-ориентированные задачи по математике
Мебельное производство
Задача 1.
Тема: прямоугольник
8-9 класс
На мебельном производстве столешницы и вставки вырезают из листов керамогранита. Один лист керамогранита имеет размеры 2100мм x 1000мм. При резке керамогранита оставляют припуск 2 мм перед фрезерованием кромки в финальный размер на станке ЧПУ.
Заказчик просит сделать комплект Tezza1600 по следующему чертежу:
Рисунок одной вставки может не сходиться с рисунком столешницы. Сколько листов керамогранита требуется для изготовления 20 таких комплектов?
Решение:
Из 20-ти листов керамогранита вырежут 20 неполных комплектов, так как одну из двух вставок не получится вырезать с учетом размера листа.
Тогда придется вырезать не уместившиеся вставки отдельно.
404 ∙5=2020мм<2100мм.
На одном листе умещается 5 вставок с учетом припуска. Следовательно, нужно дополнительно 4 листа по 5 вставок., чтобы собрать полные комплекты.
Ответ: 24 листа.
Задачу можно адаптировать под ОГЭ, добавив задания следующего типа:
- Найти площадь столешницы. Ответ выразить в м2. Ответ округлите до разряда десятых.
Решение:
1600 мм = 1600:1000 м= 1,6 м
900 мм = 0,9 м
S = 1,6∙0,9 м2 = 1,44 м2≈1,4 м2.
Ответ: 1,4 м2.
- Найти диагональ столешницы. Ответ дайте в см.
Для ребят размеры столешницы можно изменить на 1500 х 800 для упрощения вычислений. При желании можно оставить 1600 х 900 с последующим округлением результата до целых.
Решение:
1 вариант: по теореме Пифагора диагональ столешницы:
2 вариант: по теореме Пифагора
-
Сколько процентов составляет площадь вставки от площади столешницы?
Решение:
Так как у вставки и столешницы одна сторона одинаковая и 1600мм=4∙400мм, то площадь вставки составляет 1/4 часть от площади столешницы, т.е. 1/4=0.25=25%.
или:
Ответ: 25%.
-
Вычислить стоимость заказа.
Заказчик просит вырезать 20 комплектов Tezza1600 из керамогранита Light Grey по цене 3500 руб за один лист*. Масса 1 м2 керамогранита Light Grey – 12,5 кг. Стоимость ящика, в который упаковывают товар: 1500 руб. Масса ящика – 60 кг. Доставка товара: в черте города по требованию заказчика. Условия доставки мебельной компании в черте города:
|
Масса |
Стоимость |
|
0,5 т – 1 т |
2500 руб |
|
1т – 1,5 т |
3500 руб |
Вычислите стоимость заказа.
*Остатки может забрать заказчик.
Решение:
Площадь одного листа керамогранита: 2100мм x 1000мм = 2,1м х 1м = 2,1м2. Масса 24 листов равна 24∙2,1∙12,5 = 630 (кг). Полный вес груза: 630+60 = 690(кг). Доставка: 2500 руб.
Стоимость комплектов: 24∙3500=84000 (руб)
Стоимость заказа: 84000 +1500+2500 = 88000 (руб)
Ответ: 88000 руб.
Задача 2.
Тема: взаимное расположение окружностей
8-9 класс
Из листа керамогранита с размерами 2100мм x 1000мм вырезают два полукруга диаметром D=1100 мм следующим образом:
Доказать, что круги не перекрываются. Припуск не учитывать.
Решение:
Докажем, что полукруги не перекрываются. Круги не перекрываются, если расстояние между их центрами больше суммы радиусов данных кругов, т.е. OO1>OK+O1M=550+550=1100.
Опустим из точки O перпендикуляр к прямой BO1.
.
Рассмотрим прямоугольный треугольник О1ОН.ОН = 1000 мм, О1Н=ВС-О1С = 2100-550-550=1000 (мм). Находим по теореме Пифагора:
ОО1 = 1400 мм > 1100 мм. Следовательно, полукруги не пересекаются.
Практико-ориентированные задачи
Машиностроение
Тема: длина окружности
8-11 класс
На производстве требуется изготовить металлическую трубку с заданными параметрами. Для того, чтобы это сделать, необходимо изготовить развертку трубки, а затем ее согнуть.
При изготовлении развертки необходимо учитывать толщину детали. Ширина развертки приближенно равна длине окружности, расположенной посередине между внешней и внутренней окружностями. Длина развертки равна длине образующей цилиндра.
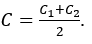
- Даны 3 концентрические окружности. См. рис.1. Красная окружность расположена посередине между синей и зеленой окружностями, длины которых равны C1 и C2 соответственно. Длина красной окружности равна C. Доказать, что
Доказательство:
- Известно, что длина внешней окружности трубки равна 188,5мм, а длина внутренней окружности – 176 мм. Длина трубки равна 120 мм. Найдите размеры развертки с учетом толщины трубки. Найдите толщину трубки.
Решение:
Найдем ширину развертки по формуле:
Толщину трубки найдем из формулы (1):
Ответ: размеры развертки 182,25 мм х 120мм, толщина трубки 2 мм.


