Дифференциальные уравнения в моделировании затухающих колебаний
Автор: Карпухин Константин Сергеевич
Организация: КУ им. Ч. Валиханова
Населенный пункт: Республика Казахстан, г. Кокшетау
Автор: Жұматай Жансұлтан Жаңабергенұлы
Организация: КУ им. Ч. Валиханова
Населенный пункт: Республика Казахстан, г. Кокшетау
Автор: Грабовский Константин Сергеевич
Организация: КУ им. Ч. Валиханова
Населенный пункт: Республика Казахстан, г. Кокшетау
Аннотация. Статья посвящена анализу динамики затухающих колебаний, описываемых линейными дифференциальными уравнениями второго порядка. Рассмотрены физические параметры, определяющие характер демпфированного движения: коэффициент сопротивления, собственная и затухающая частоты. Формализовано понятие логарифмического декремента и показана его роль в оценке энергетических потерь колебательной системы. Продемонстрирована взаимосвязь декремента с добротностью и динамическими свойствами механических, электрических и молекулярных систем. Обсуждены приложения модели в задачах термодинамики и молекулярной физики, включая процессы релаксации и уширение спектральных линий.
Abstract. The article examines the dynamics of damped oscillations governed by second-order linear differential equations. The physical parameters determining the behavior of a damped system are analyzed, including the damping coefficient, natural and damped frequencies. The concept of logarithmic decrement is formalized, and its significance for quantifying energy loss in oscillatory systems is demonstrated. The relationship between the decrement, quality factor, and dynamical characteristics of mechanical, electrical, and molecular systems is presented. Applications of the model in thermodynamics and molecular physics are discussed, with emphasis on relaxation processes and spectral line broadening.
Ключевые слова. Затухающие колебания, дифференциальные уравнения, демпфирование, логарифмический декремент, добротность, собственная частота, затухающая частота, релаксация, спектральные линии, молекулярная динамика.
Keywords. Damped oscillations, differential equations, damping, logarithmic decrement, quality factor, natural frequency, damped frequency, relaxation, spectral lines, molecular dynamics.
ВВЕДЕНИЕ
Дифференциальные уравнения являются фундаментальным математическим инструментом, позволяющим описывать динамические процессы в физике, инженерии и смежных областях знания [1]. Особое место среди таких процессов занимают затухающие колебания, возникающие вследствие взаимодействия колебательной системы с окружающей средой. В реальных физических условиях любое колебание неизбежно теряет энергию: механическая система — из-за трения, электрическая — из-за омических потерь, молекулы — из-за столкновений и обмена энергией с другими частицами [2]. Поэтому математическое описание затухающих процессов лежит в основе анализа механических резонаторов, колебательных контуров, спектральных линий, процессов релаксации в термодинамике и молекулярной физике.
Современная физика рассматривает затухающие колебания как универсальный механизм перехода системы к состоянию равновесия. Такие переходы описываются дифференциальными уравнениями первого или второго порядка, решения которых демонстрируют экспоненциальное уменьшение амплитуды колебаний. В данной работе проводится расширенный анализ математической модели затухающего движения, рассматривается логарифмический декремент, исследуется физический смысл входящих параметров, приводятся таблицы характеристик, а также демонстрируются приложения данной модели в термодинамике и молекулярной физике [3].
1. ДИФФЕРЕНЦИАЛЬНОЕ УРАВНЕНИЕ ЗАТУХАЮЩИХ КОЛЕБАНИЙ И ФИЗИЧЕСКИЙ СМЫСЛ ЕГО ПАРАМЕТРОВ
Математическое описание затухающих колебаний базируется на дифференциальном уравнении второго порядка:
которое представляет собой баланс сил упругости, инерции и сопротивления. Уравнение (1) выводится из второго закона Ньютона и является фундаментом теории колебаний [2].
Физический смысл коэффициентов в уравнении (1) раскрывается через параметры, представленные в таблице 1.
Таблица 1 — Основные параметры затухающей колебательной системы
|
ПАРАМЕТР |
ОБОЗНАЧЕНИЕ |
ФОРМУЛА |
ФИЗИЧЕСКИЙ СМЫСЛ |
|
Коэффициент демпфирования |
γ |
|
Характеризует сопротивление и скорость потери энергии |
|
Собственная частота |
ω0 |
|
Частота свободных колебаний в отсутствие затухания |
Окончание таблицы 1
|
Частота затухающих колебаний |
ω |
|
Реальная частота осцилляций с учётом потерь |
Из таблицы 1 видно, что коэффициент демпфирования
γ определяет степень вязкого сопротивления. Чем выше значение b
, тем интенсивнее система теряет энергию, тем быстрее уменьшается амплитуда колебаний [2]. Величина ω0 характеризует колебательную способность системы в идеальных условиях без потерь. Фактическая частота
ω ниже собственной, что отражает энергетические потери и переход части энергии в тепло.
Подставляя параметры из таблицы 1 в решение уравнения (1), получается общая формула движения: которая указывает на экспоненциальное затухание амплитуды при сохранении периодичности.
2. ЛОГАРИФМИЧЕСКИЙ ДЕКРЕМЕНТ ЗАТУХАНИЯ И ЕГО РОЛЬ В АНАЛИЗЕ КОЛЕБАТЕЛЬНЫХ СИСТЕМ
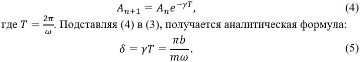
Логарифмический декремент δ является ключевой величиной, позволяющей количественно оценить степень затухания колебаний. Он определяется как логарифм отношения двух последовательных амплитуд:
Выражение (3) устанавливает прямую зависимость между потерей амплитуды за период и демпфированием системы. Экспоненциальное затухание амплитуды описывается:
Эта формула позволяет определить декремент как теоретически, так и по экспериментальным данным, что особенно важно для практической диагностики технических систем и анализа спектральных линий [4].
Таблица 2 — Влияние коэффициента демпфирования на логарифмический декремент
|
МАССА m, кг |
ЖЕСТКОСТЬ k, Н/м |
СОПРОТИВЛЕНИЕ b, кг/с |
δ |
|
1.0 |
25 |
0.5 |
0.32 |
|
1.0 |
25 |
1.0 |
0.64 |
|
1.0 |
25 |
2.0 |
1.28 |
Таблица 2 демонстрирует прямую зависимость логарифмического декремента от коэффициента сопротивления. При увеличении b в два раза δ
также увеличивается ровно вдвое, что полностью согласуется с формулой (5). Это означает, что система с большим коэффициентом сопротивления быстрее теряет энергию и имеет более быстрое падение амплитуды. Физически это соответствует, например, колебаниям маятника в вязкой среде или электрическому контуру с высоким сопротивлением [2, 4].
3. ПРИЛОЖЕНИЯ ДИФФЕРЕНЦИАЛЬНЫХ УРАВНЕНИЙ ЗАТУХАНИЯ В ТЕРМОДИНАМИКЕ И МОЛЕКУЛЯРНОЙ ФИЗИКЕ
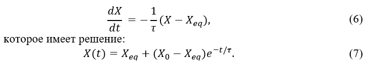
В термодинамике и молекулярной физике аналогом затухающих колебаний являются процессы релаксации — возврат параметров системы к состоянию равновесия. Такие процессы описываются уравнением:
Здесь τ=1/γ является временем релаксации и аналогично параметру демпфирования механической системы [3]. Чем меньше τ, тем быстрее система теряет избыток энергии и тем интенсивнее идет релаксация.
В молекулярной физике затухающие колебания также описывают движение атомов внутри молекулы. Молекулярные колебания всегда подвержены затуханию из-за столкновений, излучения энергии и взаимодействия с окружающей средой. Логарифмический декремент напрямую связан с шириной спектральных линий.
Добротность колебательной системы выражается как:
Таблица 3 — Связь логарифмического декремента и добротности
|
δ |
Добротность Q=π/δ |
Характеристика системы |
|
0.1 |
31.4 |
Узкие спектральные линии, малые потери |
|
0.5 |
6.28 |
Умеренное затухание |
|
1.0 |
3.14 |
Широкие линии, сильное затухание |
Таблица 3 демонстрирует обратную пропорциональность между логарифмическим декрементом и добротностью. Значения показывают, что даже небольшое увеличение δ приводит к резкому снижению добротности. В спектроскопии это означает расширение линий — эффект допплеровского, столкновительного или радиационного уширения. Слабо затухающие колебания характерны для высококачественных резонаторов и устойчивых молекулярных колебаний [2, 5].
ЗАКЛЮЧЕНИЕ
В данной работе подробно рассмотрено математическое описание затухающих колебаний, основанное на линейных дифференциальных уравнениях второго порядка. Раскрыта физическая природа параметров, входящих в уравнение, и показана их роль в формировании реальной частоты и амплитуды движения. Подробно разобрано значение логарифмического декремента, его связь с физическими характеристиками системы и влияние на добротность. Приведённые таблицы и формулы демонстрируют, как математическая модель отражает реальные свойства колебательных систем в механике, термодинамике и молекулярной физике.
Таблица 4 – Сводные выводы по динамике затухающих колебаний [1-5]
|
№ |
Научный вывод |
Содержание |
|
1 |
Физическая природа затухания |
Затухание обусловлено диссипативными механизмами, приводящими к монотонному уменьшению энергии колебательной системы. |
|
2 |
Роль коэффициента демпфирования |
Параметр определяет интенсивность энергетических потерь и формирует характер временной эволюции амплитуды. |
|
3 |
Связь между собственными и затухающими частотами |
Уменьшение действительной частоты относительно собственной отражает влияние сопротивления и подтверждает экспоненциальный характер затухания. |
|
4 |
Информационная значимость логарифмического декремента |
Декремент выступает универсальным параметром, позволяющим количественно оценивать скорость потерь энергии за период. |
|
5 |
Влияние декремента на добротность |
Обратная пропорциональность δ и Q определяет резонансные свойства системы и формирует ширину спектральных линий. |
|
6 |
Универсальность модели |
Математическое описание применимо к механическим, электрическим и молекулярным системам, подтверждая общность механизмов релаксации. |
|
7 |
Связь с процессами релаксации |
Экспоненциальная форма решений совпадает с кинетикой возврата параметров к равновесию в термодинамике и молекулярной физике. |
Проведённый анализ подтверждает универсальность дифференциальных уравнений затухания и их ключевую роль в современной физике как для теории, так и для эксперимента.
СПИСОК ЛИТЕРАТУРЫ
- Базаров И. П. Термодинамика : учебник / И. П. Базаров. — 5-е изд. — СПб. : [без издательства указанного], (375, [2] с.) — URL: https://clck.ru/3Qkpvr
- Матвеев А. Н. Молекулярная физика : учебное пособие / А. Н. Матвеев. — 4-е изд. — 364 с. — URL: https://clck.ru/3QkpxE
- Папушина Т. И., Сидоренко Ф. А., Гребенкина О. Г. Молекулярная физика и термодинамика : учебное пособие / Т. И. Папушина, Ф. А. Сидоренко, О. Г. Гребенкина. — Екатеринбург : УрФУ. — 113 с. — URL: https://clck.ru/3Qkpz7
- Миронова Г. А., Брандт Н. Н., Салецкий А. М. Молекулярная физика и термодинамика в вопросах и задачах : учебное пособие / Г. А. Миронова, Н. Н. Брандт, А. М. Салецкий. — СПб. : «Лань». — 480 с. — URL: https://clck.ru/3QkpzX
- Овчинкин В. А. Лекции по термодинамике и молекулярной физике : учебное пособие / В. А. Овчинкин. — Москва : «Физматкнига». — 240 с. — URL: https://clck.ru/3Qkpzv


